生产过程中有大量的连续变化的模拟量需要PLC来进行测量和控制。PLC的CPU只能处理数字量。因此,在工业控制中,如压力、温度、流量等非电量输入信号,如发电动机组的电流、电压强电电量,变送器用于将传感器提供的电量或非电量转换为标准量程的电流或电压信号,例如4~20m A,±0~10V,然后再通过PLC的模拟量输入模块的A/D转化器将它们转换为数字量。而在工业控制过程中的变频器、调节阀等执行机构,要求PLC输出模拟量信号,因此,PLC的CPU在执行完用户程序后来得到的数字量,会通过模拟量输出模块的D/A转换器,将PLC中的数字量转换为模拟量电压或电流,再去控制执行机构。
西门子1200的模拟量模块如表1所示。从表中可以看出,部分模块特征是不一样的。列如,如果使用1200PLC本体带的模拟量输入模块,只能是电压型的,而且是0-10V单极性输入电压。SM1231模拟量输入模块就比较灵活了,量程可以是电压型,也可以是电流型,可以是单极性也可以是双极性。对于SM1232模拟量输出模块,13位输出的为电流输出。14位模拟量输出的为电压输出。更加详细的内容请参考1200的操作手册,如表2所示(简表)。
表1 模拟量I/O模块

表2 模块规范

模拟输入量转换后的模拟值表明方法
模拟量IO模块中模拟量对应的数字称为模拟值,模拟值用16位二进制补码定点数来表明。最高位第15位为符号位,正数的符号位为0,负数的符号位为1。表3所示,给出了输入电压范围为额定范围时,模拟量输入模块的模拟值与模拟量的对应关系。需要注意的是,对应关系跟软件采集数据设置密切相关,后面内容做具体介绍。
表3 SM 1231模拟量输入模块的模拟值与模拟量的对应关系

如何将模拟量输入模块的输出值转换为实际的物理量
转换时,要思考变送器的输入/输出量程,找出被测物理量与A/D转换后的数字之间的比例关系。
举个例子:空气温度传感器的基本参数:(1)直流供电:10~30V DC(2)输出信号:电流输出 4~20mA(3)温度测量范围:-40~+80℃。假设模拟量输入模块采集到的数字量为12345,模拟量输入通道为IW96,那么对应的实际温度是多少?
1200PLC通过模拟量输入模块,将空气温度模拟量输入数值转换成数字值,并且把它们传输到PLC主单元,且与PLC主单元进行实时数据交互。
假设采用的模拟量输入模块:SM 1231 AI4,定义模拟量通道:电流型,电流范围4~20mA。
在博图软件中进行组态,如图1所示。

图1 组态模拟量输入模块
对模拟量输入通道进行修改,修改为自己需要的通道,如图2所示。这个修改必须要在设备视图中修改。

图2 修改模拟量通道地址
选中模拟量模块,点击属性,修改通道为电流型。可以看到,如图3所示,可以选择0-20mA,也可以选择4-20mA。

图3 模拟量通道测量类型选择
假设选择的通道为4-20mA,如图4所示,

图4 通道选择
还可以定义通道变量名:通道0为空气温度,如图5所示

图5 定义通道名称
完成定义的通道名称如图6所示

图6 通道命名
目前可以计算温度,相关理论如下:
空气温湿度传感器的输出信号是电流输出4~20mA,软件设置中选择的通道为4-20mA(图4),经过模拟量输入模块SM 1231 AI4转换为数字量是0~27648,对应关系如图7所示:

图7 模拟量数字量对应关系
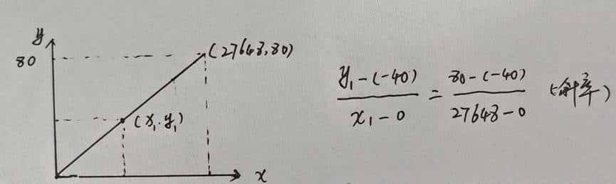
工程量对应的数字量关系如图8所示。对于该直线,已知两点明确的对应关系,最小值时,数字量0时,温度为-40度,即坐标点一(0,40)。最大值时,数字量27648时,温度为80度,即坐标点二(27648,80)通过直线斜率关系,就可以获知任意数字量对应的温度值。图中,x是模拟量输入通道获得的数字量,为已知数,然后计算实际温度值y。即:y1=[80-(-40)]/(27648-0)(x1-0)+(-40)。在下列公式中对应:y1=[IN2-(IN3)]/(IN4-0)(IN1-0)+(IN3)。由于是0,则没有添加数据接口。

图8 工程量对应的数字量关系
在实际编程中,可以采用计算公式直接计算相关温度,可以采用梯形图,如图9所示,也可以采用结构化文本语言。

图 9 温度检测
需要特别注意的是:如果空气温湿度传感器的输出信号是电流输出4~20mA,软件设置中选择的通道为0-20mA,经过模拟量输入模块SM 1231 AI4转换为数字量是5529.6~27648,对应关系如图10所示:

图 10模拟量数字量对应关系
工程量对应的数字量关系如图11所示。对于该直线,已知两点明确的对应关系,最小值时,数字量5529.6时,温度为-40度,即坐标点(5529.6,40)。最大值时,数字量27648时,温度为80度,即坐标点(27648,80)通过直线斜率关系,就可以获知任意数字量对应的温度值。图中,x是模拟量输入通道获得的数字量,为已知数,然后计算实际温度值y。

图11 工程量对应的数字量关系
此时的数学公式计算则为:y1=[80-(-40)]/(27648-5529.6)(x1-5529.6)+(-40)。在下列公式中对应:y1=[IN2-(IN3)]/(IN4-IN5)(IN1-IN5)+(IN3)。在实际编程中,可以采用计算公式直接计算相关温度,可以采用梯形图,如图12所示

图 12温度检测
















暂无评论内容