大学学的高等数学,几乎都忘光了,最近自己复习时,发现几乎都不会做了。如今AI发展迅猛,能不能用AI来辅助我学习?
LaTeX 公式
数学公式和符号复杂,对学习者来说是挑战。
LaTeX是一种基于TeX的排版系统,广泛应用于学术界,用于排版数学公式和科学文献。LaTeX以其高度的格式化能力和准确性著称,使得复杂的数学公式能够以清晰、美观的方式呈现。
那么AI如何识别LaTeX公式?
AI 识别 LaTeX 公式
AI识别LaTeX公式的过程涉及图像处理、光学字符识别(OCR)、机器学习和自然语言处理(NLP)等多项技术。通过对图像进行预处理、字符和符号分割、特征提取、模型识别、结构解析等步骤,最终生成准确的LaTeX代码。
但是常用的AICG,列如国外的 ChatGPT、阿里云的通义千问、百度的文心一言等,使用图片等形式输入,并不是很方便。如果要让这些工具来帮你解答数学题目,就需要你自己写LaTeX公式了,对于初学者来说,就要学习了,提高了学习成本。
能不能有其它第三方工具来快速识别图片中的LaTeX公式?
第三方工具提取 LaTeX 公式
目前网上有不少网站提供LaTeX公式识别的功能,但价格并不便宜,列如:Mathpix Snip

价格列表:

这价格真是。。。不差钱的或者常常用的可以试试,这个还是挺出名的。但是不常常用,偶尔用用的就有点不划算了。
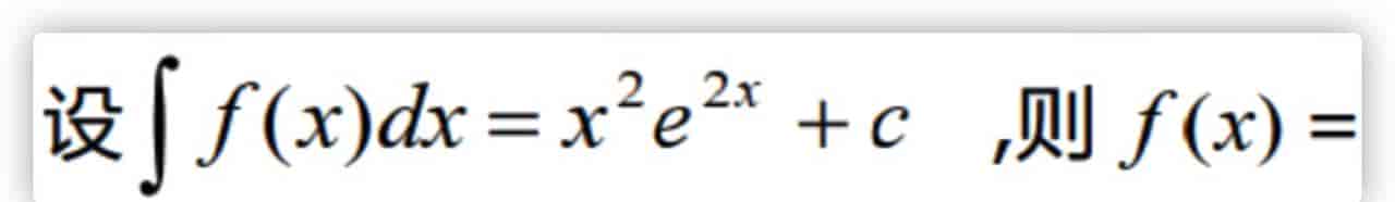
经过不断的探索,发现了一个免费的宝藏网站 simpletex,使用很简单,只需要将截图粘贴到输入框即可:


就得到了LaTeX公式:
ext{设}int f(x)dx=x^{2}e^{2x}+cquad ext{,则 }f(x)=
涉及链接推广,平台第三方网址不让贴,有需要的网友,私我可发具体网址。
AI 答题
有现有的专门的数学相关的AI工具,如WolframAlpha和Microsoft Math Solver,提供了自动解答数学问题,提供详细的解题步骤,有需求的网友可以去了解下。
本次使用常规的ChatGPT来完成。
将上面生成好的包含LaTeX公式的题目,直接复制到AI输入框,让其解答即可:

可以看到自动解答数学问题,而且也提供了详细的解题步骤。
AI可以提供实时辅导和答疑服务,协助学习者解决学习过程中遇到的问题还是超级高效的。






AI辅导,效率杠杠的,学习不孤单。