一、拉伸试验
材料学通过试验来研究材料的力学性能。试验的结果取决于试件的形状、尺寸、装夹方式以及测试方法。因此需要统一试验流程和标准。拉伸试验,作为测试材料强度的基础试验,被广泛接受。最常用的是单轴拉伸试验(沿中心轴线施加载荷),以规定的速率均匀地拉伸试样,记录拉力和伸长量。推导出应力-应变曲线、屈服强度、抗拉强度和断裂伸长率等材料参数。此外,还有双轴拉伸试验。

材料拉伸试验
应力和应变
为了方便对不同尺寸试件的力学性能进行对比,将单位面积上受到的力作为统一的量化指标,即“应力”(Stress σ)。应力(σ)等于力(F)除以试件初始横截面积(A ),与压强的的单位(Pa)一样。不同的是:压强一般用于描述物体表面单位面积上受到外力的大小,而应力是指物体内部某个微元截面单位面积上受到内力的大小。在拉压试验中,试件会被拉长或者缩短,伸长量用△L表明(负值代表缩短)。为了方便对不同长度的试件进行对比,我们将伸长量(△L)除以试件初始长度(L ),记为“应变”(Strain ε)。

试验过程中,随着拉力增加,记录应力和应变的数据,绘制成曲线,即“应力-应变曲线”。金属的应力-应变曲线,与其成分、热处理状态、已产生的塑性变形、应变率、温度以及应力状态都有关系。
用于描述应力-应变曲线的材料参数有:屈服强度、抗拉强度、断裂伸长率以及断面收缩率。前两个参数表征强度,后两个参数表征延展性。
在弹性变形阶段,应力与应变成正比,两者是线性关系,载荷撤销后,试件可以恢复到初始形状。载荷继续增加,使材料应力超过屈服强度,试件会产生不可恢复的塑性变形,载荷撤销后,试件不能完全恢复到初始形状。(弹性变形可以恢复,塑性变形不能恢复)。


对已经发生塑性变形的试件,撤销载荷后重新施加载荷,需要施加比之前更大的载荷,才能使材料产生更多的塑性变形。这种现象,称为金属材料的“应变硬化”。在塑性变形过程中,试件的体积保持不变:A·L = A0·L0,随着拉伸长度L增加,横截面A会减小。
正应变与切应变
应变等于变形量除以初始长度,用于描述材料的相对变形。
当力的方向与截面方向垂直时,截面上产生正应力;
当力的方向与截面方向平行时,截面上产生切应力。
正应变描述垂直于截面方向的相对变形;切应变描述平行于截面方向的相对变形。

泊松比(Poisson's ratio)
泊松比的定义:拉伸力方向上横向收缩应变与纵向延伸应变的比值。
|
μ = – εtrans / εlongitudinal |
|
ε =ΔL/L |
拉伸变形被认为是正的,压缩变形被认为是负的。泊松比的定义包含一个减号,因此普通材料具有正比。泊松比,也称为泊松比或泊松系数。常见的材料,轴向受到拉伸时,横向会缩小,即:轴向应变是正数时,横向应变是负数。如果直接把泊松比定义为横向应变与轴向应变之比,那么常见材料的泊松比就是一个负数。为了让常见材料的泊松比为正数,所以定义中增加一个负号。
泊松比为负的材料,受到拉伸时,横向变形反而增大。这种材料也是存在的,列如某些特殊的泡沫材料。
负泊松比(Negative Poisson's Ratio)材料是一种新型超材料,具体表现为在受到单轴压缩(拉伸)时在横向发生收缩(膨胀)变形。由于其独特的变形行为,负泊松比材料已被证实具有高比强度、高能量吸收率等性质,在航空航天、医疗卫生等领域具有广阔的应用前景。

相关文献:于靖军, 谢岩, 裴旭. 负泊松比超材料研究进展[J]. 机械工程学报, 2018, 54(13):1-14.
二、应力应变曲线
拉伸试验得到的应力应变,一般是指工程应力和工程应变,用于计算应力应变的横截面积和长度,是未变形的初始横截面积和初始长度(便于测量)。与之对应的,还有真应力和真应变,用于计算应力应变的横截面积和长度,是变形后的横截面积和长度。
在应力低于比例极限的情况下,应力σ与应变ε成正比,即σ=Εε;式中E为常数,称为弹性模量或杨氏模量,是正应力与正应变的比值,弹性模量的单位与应力的单位一样。剪切模量的定义与之类似,是切应力与切应变的比值。
金属的应力应变曲线,一般分为四个阶段:弹性阶段、屈服阶段、应变硬化阶段和颈缩断裂阶段。

注意:不同的材料,应力应变曲线会有差异,并不是每种材料都会表现出上述四个阶段。

屈服强度
材料的屈服强度,是指材料开始发生塑性变形时所对应的应力。由于不同材料应力应变曲线变化各异,一般很难确定在多大的应力下,材料开始屈服。实际应用中,也会用到以下几种定义屈服点的方式:
弹性极限(Elastic Limit):能检测到塑性变形的最小应力。
比例极限(Proportional Limit):应力-应变曲线开始出现非线性的应力。许多金属材料的弹性极限和比例极限几乎是一样的。
偏移屈服点(Offset Yield Point 或 Proof Stress)有些材料的应力应变曲线,弹性阶段和塑
性阶段之间没有明显的分界点。可以采用某个指定的很小的塑性应变,一般是0.2%,对应的
应力作为屈服点。

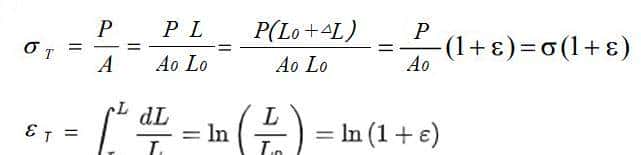
真实应力和真实应变
前面拉伸试验得到的工程应力( σ)和工程应变(ε),是基于试件未变形的初始横截面积(A )和初始长度(L )计算的。而实际中,随着载荷的变化,横截面积和长度都是在发生变化的。特别是当材料的应力超过抗拉强度后发生颈缩,横截面明显缩小,如果依旧用初始横截面积计算应力,就不太合适了。
真实应力( σ )和真实应变(ε ),顾名思义就是真实的应力和真实的应变。是以载荷作用下发生变形后的实际横截面积(A)和实际长度(L),来计算应力和应变的。
弹性变形阶段,由于变形很小,工程应力应变和真实应力应变,几乎没有什么差异。
塑性变形阶段,基于塑性变形体积不变的假设(A·L = A0·L0),可以由工程应力应变计算出真实应力应变。



两种曲线对比
三、应变硬化
在单轴拉伸试验中,当应力超过屈服强度后,需要施加更大的载荷产生更大的应力,才会使材料发生更多的塑性变形。随着塑性应变的增加,材料变得更强、更难以变形了,因此这个阶段称为“应变硬化”(Strain Hardening)。应变硬化阶段具体是指:材料应力应变曲线上,应力超过屈服点之后,达到最大值之前的阶段。

反复加载的情况:
第一次加载(loading),使应力超过屈服强度Y,达到Y',然后卸载(unloading)。再次加载时(reloading),应力应变曲线的线性段会延伸到之前加载的最大载荷所对应的位置,屈服强度提高到Y'。同时,延展性会降低,断裂前允许的塑性变形减少。

大多数金属的应变硬化行为,可以用指数曲线来描述:


四、弹性、韧性、断裂韧性
弹性 Resilience —— 恢复原状的能力

材料的弹性,指材料应力应变曲线中弹性阶段面积。对于弹性阶段为线性的材料,计算屈服点以下的三角形面积。
韧性 Toughness —— 抵抗断裂的能力

材料的韧性:应力应变曲线下方的面积。 即:发生断裂前,单位体积的材料所吸收的能量

延展性是材料发生断裂前,允许发生较大的塑性变形。 韧性是材料强度和延展性的综合体现。
断裂韧性 Fracture Toughness

断裂韧性:在含有裂纹的情况下,抵抗最终断裂的能力。

附:材料拉伸试验报告











参考资料
工程材料属性数据库

https://www.engineeringtoolbox.com/material-properties-t_24.html
1.https://www.teesim.com/
2.http://silver.neep.wisc.edu/~lakes/home.html
文章参考: http://www.teesim.com网站技术资源库内容整理。
















- 最新
- 最热
只看作者