首页
论坛
分享
发布
发布文章
创建话题
创建圈子
发布帖子
开通会员
开通黄金会员
专属会员动态徽章
全站资源折扣购买
VIP内容免费阅读
每日免费30次"AI律师"对话
VIP精准回答阅读权限
VIP用户专属QQ群
开通黄金会员
开通钻石会员
专属会员动态徽章
全站资源折扣购买
VIP内容免费阅读
每日免费100次"AI律师"对话
VIP精准回答阅读权限
VIP用户专属QQ群
开通钻石会员
开通会员 尊享会员权益
登录
注册
找回密码
快速登录
首页
论坛
分享
开通会员 尊享会员权益
登录
注册
找回密码
快速登录
1
更多资料
搜索内容
举报用户
陈杰自由奔跑
以知识为马,带你驶向未来的彼岸...
关注
私信
文章
2
收藏
0
评论
1
圈子
0
帖子
0
粉丝
0
发布
2
排序
最新发布
最近更新
最多查看
最多点赞
最多回复
最多收藏
销售数量
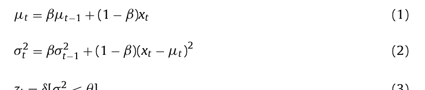
脑电信号爆发抑制比计算方式学习笔记
知识分享
7天前
0
1
0
简洁摄影展示响应式网站模板免费下载
付费资源
15
资源下载
# 免费网页模板下载
# 网站模板
# 欧美风格网页模板
16天前
0
0
0
发布文章
创建话题
创建圈子
发布帖子
在手机上浏览此页面
登录
没有账号?立即注册
用户名/手机号/邮箱
登录密码
记住登录
找回密码
登录
社交账号登录
使用社交账号登录即表示同意
用户协议
、
隐私声明
注册
已有账号,立即登录
设置用户名
手机号或邮箱
验证码
发送验证码
设置密码
邀请码(选填)
注册
已阅读并同意
用户协议
、
隐私声明