一、物理动机:为什么盯上“同位旋”
1. 1940-1950 年代已知
强相互作用里质子 p、中子 n 质量几乎相等,核力与电荷无关 →
可把它们写成二分量旋量 ψ≡(p,n)ᵀ,在“同位旋空间”做整体 SU(2) 转动时,拉氏量 L=ψ̄(iγ^μ∂μ−m)ψ 不变。
电磁理论的外尔-伦敦方案:
把整体 U(1) 推广到局域 U(1),就自动长出光子场 A_μ 和电磁耦合。
2. 杨振宁 1946 年起尝试把同一套路搬到 SU(2)。
难点:SU(2) 非阿贝尔,变换矩阵 U(x)=exp(iθ^a(x)τ^a/2) 不同时空点对易,必须一次引入 3 个规范玻色子(τ^a 为泡利矩阵)。
二、把“整体 SU(2)”局域化的几何规则
1. 局域变换
ψ(x)→ψ′(x)=U(x)ψ(x)
U(x)∈SU(2)
2. 普通导数 ∂μ 破坏对称性:
∂μψ′=U∂μψ+(∂μU)ψ ≠ U(∂μψ)
3. 引入 3 个规范势
A_μ≡A^a_μ τ^a/2
(a=1,2,3;τ^a/2 为 SU(2) 生成元)
定义协变导数
D_μ≡∂μ−igA_μ
要求
D_μψ→U(D_μψ)
即
D_μ′ψ′=U(D_μψ)
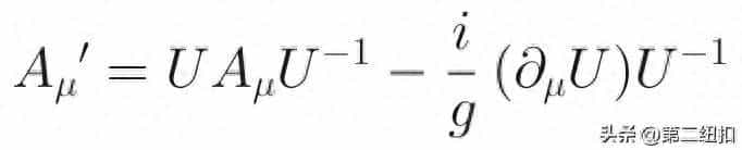
由此定出 A_μ 的补偿变换

这是非阿贝尔规范场的“几何化”核心——
比电磁多出一项共轭旋转 U A U⁻¹。
三、场强(曲率)张量的定义
1. 计算对易子

2. F_μν 的变换性质
F_μν′=U F_μν U⁻¹
因此 Tr(F{μν}F^{μν}) 为规范不变量,可写入拉氏量。
四、写下第一套非阿贝尔规范场方程
1954 年 10 月 Physical Review 95, 631 论文中,杨振宁与米尔斯给出的完整拉氏量

对 A^a_μ 做变分,得到运动方程(自由部分)

这就是历史上第一套“非阿贝尔麦克斯韦方程”。
与电磁相比多出 gf^{abc}A^{bμ}F^c{μν} 这一项,它使场自身携带同位旋电荷,从而三规范玻色子可相互散射——这是非阿贝尔理论最本质的新物理。
Bianchi 恒等式(自动满足)

———————–
当时 SU(2) 规范粒子质量为零,与短程核力矛盾;1960 年代通过 Higgs-Englert-Brout 机制“吃掉”三组分量的零模,才在 Weinberg-Salam 模型里把弱力纳入同一框架。
把 SU(2) 换成 SU(3) 就得到量子色动力学;今天标准模型的
U(1)Y×SU(2)L×SU(3)c
全都沿用 1954 年这篇的协变导数、场强定义与自耦合结构。
至此,从“整体同位旋”到“局域 SU(2)”的全部楼梯——几何补偿、协变导数、非阿贝尔场强、自耦合方程——就一次性搭好了。






杨振宁先生是中华民族五千年来最伟大的科学家!巨大成就跨越国界,享誉全球,造福全人类!
有一点我一直搞不懂。强力比电磁力大许多倍为什么没有氦二?为什么强力不能打败电磁力把两个质子结合起来非要拉中子过来帮忙
对这些很想知道喷子怎样喷。
无人敢评论
根本看不懂,但知道很重要。