在抖音刷到一道有趣的数学题,题目呈现如下:
换个角度看问题,超级有趣的思维题:求 α + β 的值

问题图
如图所示,求α+β的值。
@数学赵观察
当我们用常规方法无法解决时要换个角度思考问题#数学思维#初中

解答图
@数学赵观察 原创
以上内容来自抖音视频的文案。
解答图超级精彩。通过平移三角形,构造全等三角形,利用辅助图形,求出了α+β。在解答图中,△ACE是等腰直角三角形,所以α+β=180°-45°=135°
看到上面的答案,想起了伏尔泰曾经说过:阿基米德比荷马更富有想象力。
那么,还有没有其它解法呢?
答案是肯定的,接下来我们用三角函数来求解α+β。
第一介绍一下解题计划。虽然问题图所示的两个直角三角形不能拼成一个三角形,但是我们可以把小直角三角形放大为一条直角边为9的类似三角形,就可以拼成一个三角形了。
拼接成的三角形我们第一计算三边长度,再求面积。利用面积过渡,就能够求出sin γ。利用公式180°-γ=α+β,就完成解答了。

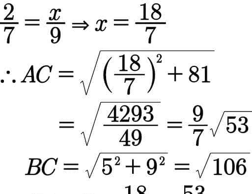
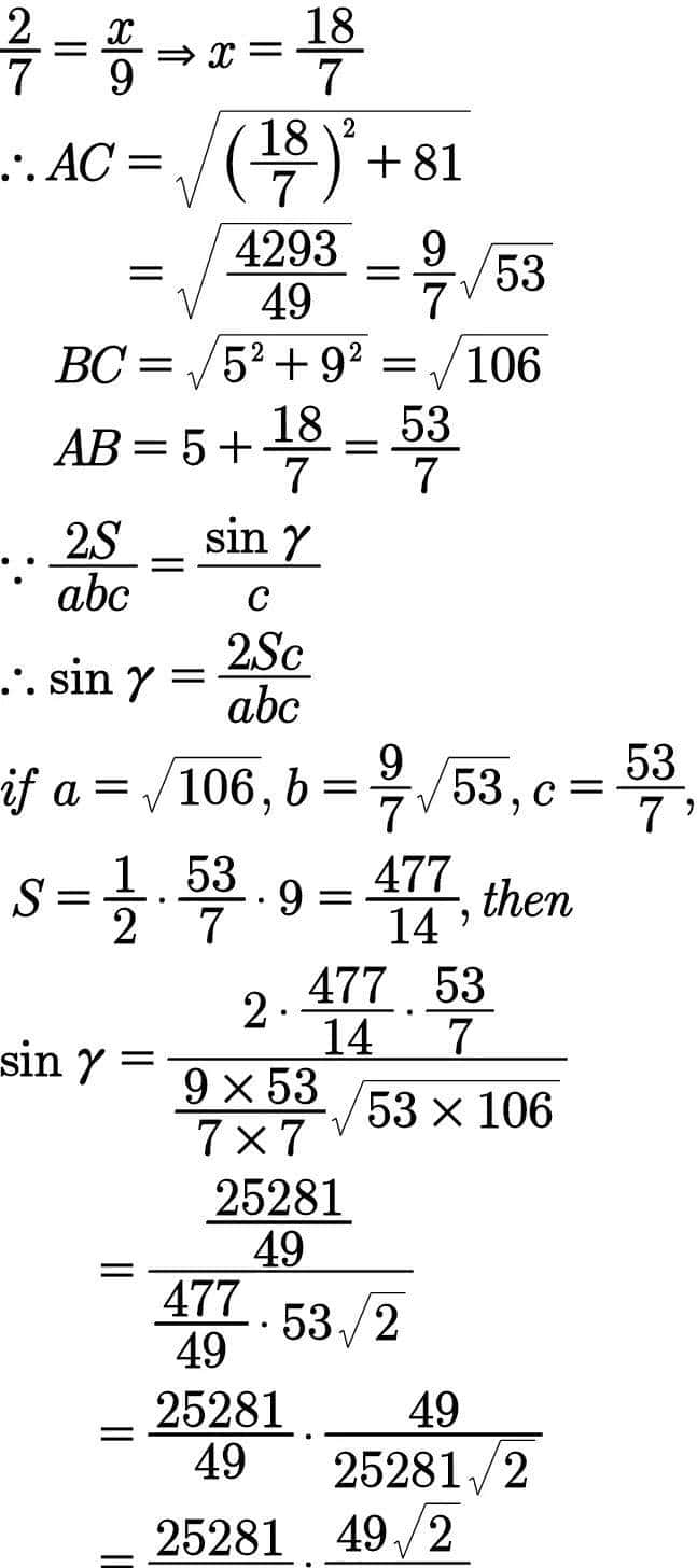
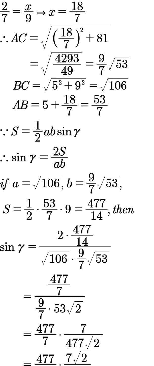
目前我们开始计算三角形ABC的面积和三边。请看下图:(当直角边7放大为9,则直角边2放大为x)

接下来有多种选择,可以用三角形外接圆直径过渡,求出sin γ,或者用正弦定理求出sin γ,或者用正弦面积公式求出sin γ。由于在
https://m.toutiao.com/is/y8Atd8e/ – 三角形与外接圆 – 今日头条
这篇文章已经介绍了利用外接圆直径过渡求sin α,所以我们选择后面两种解法。
解法一
把数据代入正弦定理计算,求出sin γ。请看下图:

解法二
用大家熟悉的正弦面积公式求出sin γ。请看下图:

总结:虽然三角法解三角形不难,但是在计算环节不能出错,否则就前功尽弃。
目前公布答案,α+β=135°,大家算出来了吗?
科学尚未普及,媒体还需努力。感谢阅读,再见。
















- 最新
- 最热
只看作者