一文说透BUCK电路的开关损耗

最近搞一些大功率的电源,一直在处理电源的发热的问题,虽然通过元件选型,电路布局,加散热片,等各种手段,把温度降下来了,总觉得还不够透彻.借buck电源,系统研究下发热问题.本文总结了BUCK电路中,所有的发热源产生的缘由,并用公式的方式进行表明,为分析散热问题,提供理论依据.

1. 定义与发热

在探讨损耗之前,先来看一下损耗相关的定义、发热和结温。

1.1 损耗与效率

损耗是发热的根源,效率是整体的功效的评价!效率是将输入功率转换为所需输出功率时获得的功率百分比,是通过输出功率除以输入功率得到的值.

效率=输出功率÷输入功率* [%]

损耗=输入功率―输出功率 [W]

1.2 损耗与结温

损耗会转变为发热量,导致温度升高,结温,是芯片内核的温度,它们之间存大如下关系式:

TJ [℃] =TA [℃]+(θJA [℃/W]×损耗 [W])

在这里之所以将“θJA [℃/W]×损耗[W]”项用括号括起来,是由于该项即相当于“发热温升”。从公式中可以看出,“环境温度TA +发热温升”” 即为 TJ

1.3 封装的热阻及其定义

热阻 θJA 因封装和实装电路板的条件而异。一般, 在各 IC 的技术规格书中会给出标准值。图 2 展示了封装热阻的概 念,表 1 中列出了每个符号的定义。

一文说透BUCK电路的开关损耗

图 1. 封装热阻的概念

符号

定义

θJA

结温(TJ)与环境温度(TA)间的热阻

θJC

结温(TJ)与外壳表面温度(TC )间的热阻

θCA

外壳表面温度(TC)与环境温度(TA)间的热阻

TJ

结温

TA

环境温度

TC

外壳表面温度

2.同步整流降压转换器的损耗

2.1 损耗发生位置

下图是buck电路中,产生损耗的地方,发生位置用红色圈以及红色简称来标注.

一文说透BUCK电路的开关损耗

图 2. 同步整流降压转换器的损耗发生位置

PONH 是高边 MOSFET 导通时的导通电阻带来的导通损耗。

PONL 是低边 MOSFET 导通时的导通电阻带来的导通损耗。

PSWH 是 MOSFET 的开关损耗。

Pdead_time 是死区时间损耗。

当高边和低边 MOSFET 同时导通时,VIN 和 ND 处于接近短路的状态,流过的过电流称 为“直通电流” 。为了避免这种情况, 几乎所有的控制器 IC 都会在高边和低边导通/关断切换时,设有两者都关断的短 暂时间,这就是“死区时间”。为了安全起见是需要死区时间的,但也会产生损耗。

PIC是电源控制IC(在这里为功率晶体管外置同步整流降 压转换器用控制器 IC)的电源电流。基本上是IC本身消 耗的电流。

PGATE 是外置 MOSFET 的栅极电荷损耗。原则上 MOSFET 的栅极是不流过电流的,但实际上需要驱动栅极电容的电荷,这会成为损耗。需要同时思考高边和低边。

PCOIL 是输出电感的直流电阻(Rdc)带来的导通损耗。

将这些损耗全部加在一起就是同步整流降压转换器的损耗:

总损耗 P=PONH+PONL+PSWH+Pdead_time+PIC+PATE + PCOIL

2.2 开关的导通损耗:PONH 、PONL

先看开关mos管导通损耗.IONH(红色)表明高边MOSFET导通时的电流。IONL(蓝色)表明低边 MOSFET 导通时的电流。

一文说透BUCK电路的开关损耗

图 3. 开关的导通损耗:PONH 、PONL

一文说透BUCK电路的开关损耗

图 4. 开关电压波形和电流波形

LX 是开关节点的电压波形

IONH 和 IONL 是伴随着开关的各电流波形

IL 是电感电流

在同步整流中,高边开关导通时低边开关会关断,低边导 通时高边会关断。开关节点 LX 的波形的红色部分表明流过IONH ,蓝色部分表明流过IONL。也就是说,这期间流过 MOSFET 的电流和 MOSFET 的导通电阻带来的功率损耗会成为相应的导通损耗。

高边MOS导通时,平均电流为Io,导通电阻为Ron,导通时间为Ton,其中Ton=T*D

D=Vo/Vin,

一个周期内损耗的能量为:

W=Ronh*I*l*T*D

则功率为:

P=W/T

一文说透BUCK电路的开关损耗

同理,低边MOS的损耗为:

一文说透BUCK电路的开关损耗

总结一下:

1)高边 MOSFET 的导通电阻 RONH 带来的导通损耗

2)低边 MOSFET 的导通电阻 RONL 带来的导通损耗

3)如果是非同步BUCK,则下管变成二极管的压降上带来的损耗,采用同样的思路:

一文说透BUCK电路的开关损耗

其中

一文说透BUCK电路的开关损耗

,为二极管导通时间.

2.3 开关损耗:PSWH

开关MOS在打开和关闭的过程中,并不是理想的,上升沿和下降沿都有一个过程,这个过程中产生的损耗,为开关损耗.

一文说透BUCK电路的开关损耗

图 6 :开关损耗:PSWH

1)上管导通的过程,如果用慢镜头看,节点LX上的电压是从0V,逐渐增加到Vin,MOS管D,S两端的电压,相当于从Vin逐渐减小到0V,与上图A对称.

2)上管关断的过程,如果用慢镜头看,节点LX上的电压是从Vin,逐渐增加到0V,MOS管D,S两端的电压,相当于从0V逐渐增加到Vin,与上图B对称.

相当于电流为输出电流IO,时间变trise+tfail,电压从0V到VIN的积分.

W=U*I*t

=U*Io*(trise+tfail)

P=W/T=W*f

U是一直在变的,实则就是求积分,如果不记得怎么积分了,就运用几何的方式计算,U*t的结果,就是下方三角形的面积:

一文说透BUCK电路的开关损耗

S=U*t=1/2* (trise+tfail)*Vin

PSWH 可通过下列公式计算得出。

PSWH (W) = 0.5 × VIN × Io × (tRISE + tFALL ) × fSW

tRISE :开关电压的上升时间

tFALL :开关电压的下降时间

IO :负载电流

VIN :输入电压

fSW :开关频率

以上升和下降时间为底边、以 VIN 为高的三角形部分的功率是损耗。

下管的开关损耗与上管的损耗计算方法是一样的,但是有个很大的不同,下管的漏极电压为低电压,从-0.3V到0V,因此损耗超级小,可以忽略不计.

2.4 死区时间损耗:Pdead_time

死区时间损耗是指在死区时间中,因低边开关(MOSFET) 体二极管的正向电压和负载电流而产生的损耗。在这里使 用 Pdead_time 这个符号来表明。

一文说透BUCK电路的开关损耗

图 9. 死区时间损耗:Pdead_time

理想情况下,同步BUCK,上管与下管是交替导通的,但是由于MOS的开与关存在导通时间和关断时间,有可能导致两个管子同时导通的情况,会出现烧管,为避免这种情况,在上管关断后,延时一段时间,再让下管导通,下管关断后,延时一段时间,再让上管导通,这个延时的过程,由下管的体二极管维持电流.

一文说透BUCK电路的开关损耗

图 10.开关电压波形和电流波形

由于一个周期内,就两个死区时间,死区时间损耗 Pdead_time 可以通过以下公式计算:

一文说透BUCK电路的开关损耗

tdead_time :死区时间

IO :负载电流

VF :低边 MOSFET 体二极管正向电压

fSW :开关频率

2.5 控制 IC 自身的功率损耗:PIC

作为同步整流控制 IC,即使未内置功率开关,控制 IC 也 需要电源来工作,当然也会消耗电力,而且,其功耗也会 成为损耗。在这里使用符号 PIC 来表明。

一文说透BUCK电路的开关损耗

图 11. 控制 IC 自身的功率损耗:PIC

控制 IC 自身的功率损耗 PIC 可以通过以下公式计算:

一文说透BUCK电路的开关损耗

ICC :IC 自身的消耗电流

VIN :输入电压

2.6 栅极电荷损耗:PATE

栅极电荷损耗是由外置MOSFET的栅极总电荷量(Q)引起的损耗。当 MOSFET 开关时,电源IC的栅极驱动器 向MOSFET的寄生电容充电(向栅极注入电荷)而产生这种损耗(参见图15和图16)。在这里使用符号PATE来 表明。

一文说透BUCK电路的开关损耗

图 12. 外置 MOSFET 栅极电荷

栅极电荷损耗 PATE 可以通过以下公式求得:

一文说透BUCK电路的开关损耗

QH(total) :高边 MOSFET 的栅极总电荷量(nC)

QL(total) :低边 MOSFET 的栅极总电荷量(nC)

VDriver :MOSFET 驱动器电路的电源电压

fSW :开关频率

损耗是MOSFET的 Q 乘以驱动器电压和开关频率的值。Q 请参考所使用的 MOSFET的技术规格书。驱动器电压 请实测或者参考IC的技术规格书。

从该公式可以看出,只要Q一样,则开关频率越高损耗 越大。从提供 MOSFET所需的VS的角度看,驱动器电压不会因电路或IC而有太大差异。MOSFET的选型和开关频率因电路设计而异,因此,是超级重大的探讨事项。

栅极电荷损耗,不仅是开关电源也是开关 MOSFET应用 中共同面临的探讨事项。

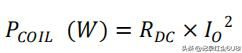
2.7 电感的 Rdc 带来的导通损耗:PCOIL

电感的直流电阻(Rdc)是线圈的电阻分量。因此,流过电感的电流和 Rdc 会产生损耗。损耗发生的位置是电感本身.

一文说透BUCK电路的开关损耗

图 13. 电感的 Rdc 带来的导通损耗:PCOIL

电感的导通损耗 PCOIL 可以通过以下公式求得:

一文说透BUCK电路的开关损耗

以上就是BUCK电路中所有损耗的计算方法和公式.当然实际应用中,还有其它缘由引起发热的缘由,列如上管的开关波形,不太好,进一步恶化了上管发热的问题.需要在实际应该中,根据实际情况作相应的处理!

© 版权声明
THE END
如果内容对您有所帮助,就支持一下吧!
点赞0 分享
如何得与凉风约·的头像 - 鹿快
评论 共1条

请登录后发表评论